ポイント
-
秒の再定義における二つの選択肢「単一原子種を利用」「複数原子種を利用」を統一的に理解する方法を確立
-
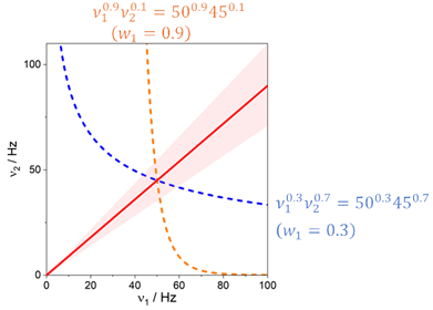
グラフを利用することで、相容れなかった両者を初めて直観的に比較することが可能に
-
2030年に想定されている秒の再定義に向けて議論が加速することに期待
背景
今回の成果




国際単位系(SI) 国際単位系(SI)は、科学や技術、産業に共通の基盤となる計量体系であり、長さ、質量、時間、電流、温度、物質量、光度の七つの基本単位を定め、それを基に様々な派生単位が作られている。SIの特徴は、できるだけ自然界の普遍的な物理定数に基づいて定義して時代や場所に左右されない安定した基準を確立している点にある。例えば、メートルは光速、キログラムはプランク定数を基準にしている。しかし、秒の定義については特定の原子の遷移周波数を利用する原子時計の性能が非常に高く、定義値とすることで原子時計以上の性能を実現できるような物理定数がないため、質量数133のセシウム原子という特定の原子の遷移周波数値を定義値としている。 元の記事へ
秒の定義・再定義 国際単位系(SI)の1秒は現在セシウム133原子のマイクロ波遷移の周波数を9,192,631,770 Hzとすることで定義されており、我々は当該遷移に共鳴した電磁波の振動を9,192,631,770回数えると1秒を得る事ができる。一方、近年光学領域にある遷移を利用する光原子時計の開発が進み、これを利用すれば、より小さい不確かさで1秒を生成することが可能になる。このため、計量標準の研究者間では1秒の定義を変更すること(再定義)が議論されているが、再定義のためには、光原子時計により実現される1秒の不確かさが現在のセシウムに基づくものより2桁程度小さくなること、また社会生活の基準時刻である協定世界時(UTC)が刻む1秒についても新しい定義に即して光時計でその精度を確認できること等が必須とされている。秒の再定義はメートル条約加盟国が集う最高議決機関である国際度量衡総会(4年ごとに開催)において決議され、2022年秋に開催された国際度量衡総会では、2030年での秒の再定義を目指す旨の決議がなされた。 元の記事へ
Option 1, Option 2 秒の再定義の最も素直な方法は、セシウム以外の特定の原子種の特定の遷移を選んで、その周波数を定義値とすることであり、国際度量衡委員会時間周波数諮問委員会においてはこの再定義の方法をOption 1としている。また、2019年のJ. Lodewyck博士によって提案された複数遷移の重み付き相乗平均の値を定義値とする方法をOption 2として、そのどちらが良いかを議論している。現状、双方とも長所・短所を持ち、またどちらかのOption に致命的な問題も見つかっていないため、議論の行方はまだ定まっていない。 元の記事へ
様々なデータ 様々なデータとは開発されている原子時計の遷移間の周波数比とその不確かさのこと。周波数比とその不確かさの大小は当該原子遷移の周波数基準としての性能を表すため、ここから原子遷移の性能を表す重みを決定することができる。 元の記事へ
不確かさ 原子時計において、時計が生成する基準周波数は技術的な要因によって本来の原子遷移の周波数からズレる可能性があり、その大きさを定量的に表したもの。また、一般的な測定においては外部環境による被測定量の変動や、計測装置の不完全性のために、測定結果が本来の量(真値)からズレる可能性があり、このズレの量を定量的に表したものを言う。 元の記事へ
国際度量衡委員会時間周波数諮問委員会(CCTF) メートル条約に基づく理事会組織である国際度量衡委員会によって設置され、時刻や周波数についての技術的な議論を行う作業部会。国際度量衡総会から国際度量衡委員会に委託された時刻・周波数に関する技術的な研究課題はこの委員会で技術的な議論が行われる。委員は時刻・周波数標準に関する研究実績を持った計量標準機関を中心に構成され、日本からはNICT及び産業技術総合研究所から複数名の委員が参加している。 元の記事へ
光格子時計 2001年に東京大学大学院工学系研究科の香取秀俊准教授(当時)によって提案された光原子時計の方式。ほとんどすべての先進国の標準研究所でストロンチウム原子もしくはイッテルビウム原子を利用して開発が進められてきており、既に協定世界時や国家標準時が刻む1秒の長さの校正にも利用されている。特別な波長のレーザー光を干渉させて作った微小空間に、レーザー冷却された原子を捕獲し、これらの原子にレーザー光を当てて吸収する光の振動周波数を得る。この光の振動を数えることで1秒の長さを決めることができる。 元の記事へ
単一イオン光時計 単一のイオンを交流電場によって形成されるポテンシャルに閉じこめ、このイオンにレーザー光を当てて吸収する光の振動周波数を得る。光格子時計同様にこの光の振動を数えることで1秒の長さを決めることができる。一般に光格子時計に比べてシステムが簡素になるが単一のイオンを利用するため信号強度が弱く、一定の精度を得るためには光格子時計に比べて長い信号積算時間が必要となる。 元の記事へ
重み付き相乗平均 平均する値の個数がn 個とすると、重み付けがない通常の相乗平均は、それぞれの値の積を取った後に1/n乗したものを言う。これは個々の値を1/n乗した値の積であり、したがってそれぞれの値に均等に1/nの重みがある。一方、重み付き相乗平均は均等に1/n乗するのではなく、各値の重みに応じた乗数のべき乗を取った後に全部の値の積を取って得られる平均値のことを言う。 元の記事へ
ml.nict.go.jp
nict.go.jp